Скачать курс «1С Менеджер потоков» — Snegopat | Отзывы | Складчина

1С Менеджер потоков

0/5 ·
Создан: 22 июня 2017 г. Обновлён: 23 марта 2026 г.

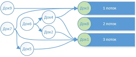
Медленные алгоритмы в 1С, такие как восстановление партий или массовое формирование отчетов, часто упираются в однопоточную архитектуру платформы. Данный инструмент берет на себя всю техническую рутину многопоточности: от управления жизненным циклом потоков до организации последовательности их работы.

Внутри разбирается, как делегировать тяжелые вычислительные задачи на фоновые процессы, не погружаясь в сложности запуска, остановки и обмена данными между потоками. Это решение для программистов 1С, которым нужно ускорить выполнение длительных операций без переписывания архитектуры конфигурации.

Автор
Инструменты
0 · 0 отзывов

Отзывов пока нет. Будьте первым!

Ещё интересные курсы

1
Можно купить
342 ₽ 12 500 ₽ −97%

1С:Предприятие 8.2: Администрирование MS SQL Server 2008R2/2012

1
Можно купить
568 ₽ 6 300 ₽ −91%

1С Лекция 5.0 Прототипирование для авторов собственных продуктов

Р
Можно купить
80 ₽ 1 350 ₽ −94%
5.0

Рассчитываем зарплату в программе 1С: ЗУП 3.0

1С:Учебный центр №1
Автоматизация администрирования информационных баз. Версия 6.1 Можно купить
154 ₽ 2 000 ₽ −92%

Автоматизация администрирования информационных баз. Версия 6.1

infostart
Как сканировать документы в 1С Можно купить
106 ₽ 1 200 ₽ −91%

Как сканировать документы в 1С

Транслятор запросов 1С в SQL Можно купить
156 ₽ 2 000 ₽ −92%

Транслятор запросов 1С в SQL

infostart
К
Можно купить
208 ₽ 2 000 ₽ −90%
5.0

Контрагент +7.5

О
Можно купить
116 ₽ 5 000 ₽ −98%
3.0

Обмен в формате XML, JSON

work-1c.ru
JavaScript Zero to Expert Complete Guide Можно купить
300 ₽ 899 ₽ −67%

JavaScript Zero to Expert Complete Guide

Muslim Helalee
У
Можно купить
308 ₽ 18 000 ₽ −98%

Ускорение и Оптимизация 1С. Базовый курс 2022

Д
Можно купить
116 ₽ 1 600 ₽ −93%

Детальные описания решений экзамена «1С:Специалист-консультант по внедрению прикладного решения УТ 8»

spec-exam.ru